non-linear scene, ray parameterization : disparity에 비례하도록 sampling 개선하고 bounded space로 mapping하여 임의의 방향과 깊이에 대한 unbounded scene 다룸
efficient proposal-based online-distillation : higher capacity MLP을 조금만 evaluate해서 효율적으로 large scene 다룸
interval-distortion-based regularizer : artifacts 줄이기 위해 step-function을 delta-function에 가깝게 regularize
Introduction
임의의 direction(360 degrees)과 임의의 depth로 unbounded 되어있는 scene 문제 해결
non-linear scene parameterization : sampling 개선하고 bounded space로 mapping하여 임의의 방향과 깊이에 대한 unbounded scene 다룰 수 있음
online-distillation : higher capacity MLP을 조금만 evaluate해서 효율적으로 large scene 다룰 수 있음
distortion-based regularizer : artifacts 줄이기 위한 regularization
NeRF model을 large unbounded scene에 적용하는 데 3가지 문제가 있다 (자세한 내용은 스킵했는데 나중에 읽어보자)
Parametrization : Mip-NeRF는 3D coordinate가 bounded domain 안에 있는 경우만 처리 가능
Efficiency : large-and-detailed scene은 large MLP를 필요로 해서 expensive
Ambiguity : scene content가 임의의 distance에 있고 이는 only 적은 수의 ray로 관찰되기 때문에 inherent ambiguity 발생
Scene and Ray Parameterization
Ray Interval Parameterization
Ray Interval Parameterization : samples의 경우 distance가 아니라 그의 역수인 disparity에 비례하여 분포하도록 하면 가까이 있는 content는 많이 sampling하고 멀리 있는 content는 덜 sampling함으로써 임의의 scale의 unbounded scene을 잘 다룰 수 있음
만약 NDC parameterization을 쓴다면 NDC-space에서 distance에 비례하여 stratified uniform sampling 하면 disparity (distance의 역수)에 비례하여 uniform sampling 한 것과 같은 효과를 가짐 그 이유는 Normalized-Device-Coordinates 의 Linear in Disparity 파트 참고
그런데 NDC는 single direction으로만 unbounded된 scene (front-facing camera)에 대해서만 적합하고 모든 방향으로 unbounded된 scene에 대해서는 적합하지 않음
Mip-NeRF 360 :
처음부터 ray interval을 disparity (distance의 역수)에 비례하도록 [2] parameterize 한다
\(g(x) = \frac{1}{x}\) 로 설정할 경우 s-space에서 uniform sampling하면 t-space에서 disparity에 비례하여 distributed
\(g(x) = log(x)\) 로 설정할 경우 s-space에서 uniform sampling하면 t-space에서는 logarithmic spacing [3] 으로 distributed
기존 NeRF 모델에서는 t-distance를 따라 uniform sampling했지만 본 논문에서는 s-distance를 따라 uniform sampling하여 나타낸다
Scene Parameterization
Scene Parameterization : unbounded scene을 radius-2 내부의 bounded space로 mapping하기 위해 contract 함수를 사용 ray parameterization을 할 때 disparity에 비례하게 sampling 했으므로 contract 함수도 consistently disparity에 비례하게 bounded space로 mapping \(\rightarrow\) scene origin에서 cast된 ray의 경우 contract 함수를 적용한 후에는 아래 그림의 주황색 영역에서 일정한 길이의 interval을 가진다
Define smooth coordinate-transformation function as \(f(x) : R^3 \rightarrow R^3\)
\(\mu, \Sigma\) 를 갖는 Gaussian에 non-linear \(f\) 를 적용하여 \(\mu_{c}, \Sigma_{c}\) 를 갖는 Gaussian으로 변형하려면 \((\mu_{c}, \Sigma_{c}) = f(\mu, \Sigma) = (f(\mu), J_{f}(\mu) \Sigma J_{f}(\mu)^T)\) where \(f(x) \approx f(\mu) + J_{f}(\mu)(x-\mu)\) (linear approx.)
이는 state transition model \(f = \text{contract}(x) = \begin{cases} x & \text{if} \| x \| \leq 1 \\ (2 - \frac{1}{\| x \|})(\frac{x}{\| x \|}) & \text{if} \| x \| \gt 1 \end{cases}\) 을 사용했을 때 classic Extended Kalman filter [1] 와 수학적으로 동일
MipNeRF360에서는 contract 함수를 point가 아니라 Euclidean 3D-space에 있는 Gaussian에 적용! 또한 모든 방향 (360 degress)에 대해 적용!
Mip-NeRF 360 : \(\gamma (\text{contract}(\mu, \Sigma))\) where \(f(x) = \text{contract}(x) = \begin{cases} x & \text{if} \| x \| \leq 1 \\ (2 - \frac{1}{\| x \|})(\frac{x}{\| x \|}) & \text{if} \| x \| \gt 1 \end{cases}\) and \(f(x) \approx f(\mu) + J_{f}(\mu)(x-\mu)\) and \(f(\mu, \Sigma) = (f(\mu), J_{f}(\mu) \Sigma J_{f}(\mu)^T)\)
Mip-NeRF 360 procedure : casting cone \(\rightarrow\) uniform sampling in s-space \(\rightarrow\) contract 3D Gaussians in t-space into bounded sphere \(\rightarrow\) IPE \(\gamma\) \(\rightarrow\) MLP
contract 함수는 파란색 구(radius 1) 외부의 Gaussian(회색)을 주황색 영역(radius 1 ~ 2)의 Gaussian(빨간색)으로 mapping
Coarse-to-Fine Online Distillation
기존 NeRF : coarse-MLP와 fine-MLP
위의 그림은 Mip-NeRF, 아래의 그림은 Mip-NeRF 360
Mip-NeRF 360 : proposal-MLP와 NeRF-MLP
small proposal-MLP는 many samples로 여러 번 evaluate하고, large NeRF-MLP는 less samples로 딱 한 번 evaluate함으로써 Mip-NeRF보다 조금만 더 costly하지만 훨씬 더 higher capacity를 가진 것과 같은 효과 \(\rightarrow\) 효율적으로 large unbounded scene을 표현하기에 적절 distill 효과가 좋아서 proposal-MLP의 경우 크기 줄이더라도 accuracy 감소하지 않음
small proposal-MLP :
color 말고 volume density만 예측하여 weight \(\hat w\) 구함
large NeRF-MLP :
color, volume density 예측하여 weight \(w\) 구하고 rendering
Loss : 아래 두 가지 loss로 각 MLP를 jointly train
reconstruction loss :
large NeRF-MLP에서 rendering해서 구함 기존 NeRF 방식과 동일
GT-image를 supervision으로 하여 NeRF-MLP만 업데이트
proposal loss :
두 MLP의 weight histogram이 consistent하도록 함 즉, proposal-MLP의 weight histogram이 NeRF-MLP의 weight histogram을 따라잡도록 함 (Mip-NeRF 계열은 point가 아니라 interval 별로 weight를 구하므로 histogram을 만들 수 있음)
NeRF-MLP의 weight를 supervision으로 하여 proposal-MLP만 업데이트 (online distillation of NeRF-MLP’s knowledge into proposal-MLP)
문제 : 하나의 histogram bin의 distribution에 대해 아무 것도 가정할 수 없음 (하나의 bin의 distribution이 uniform일 수도 있고 특정 지점에 몰빵된 delta function일 수도 있음…) coarse \(\hat t\) 와 fine \(t\) (bins)가 매우 다를 수 있음
가정 : 두 개의 histogram이 매우 달라보이더라도 둘 다 어떤 하나의 동일한 (underlying continuous) true mass distribution으로부터 유래되었다고 설명할 수 있다면 둘의 차이인 loss는 0 이다
위의 가정에 따라 NeRF-MLP (\(t\), \(w\))의 구간 \(T\) 와 겹치는 모든 proposal-MLP의 weight \(\hat w_{j}\) 를 더해서 아래와 같이 NeRF-MLP weight \(w\) 의 upper bound를 구하자 \(\text{bound}(\hat t, \hat w, T) = \sum_{j: T \cap \hat T_{j} \neq \emptyset} \hat w_{j}\) (\(t\) 와 \(\hat t\) 가 정렬되어 있으므로 summed-area table로 효율적으로 계산 가능)
만약 두 개의 histogram이 consistent하다면, NeRF-MLP (\(t\), \(w\))의 모든 구간 (\(T_i, w_i\))에 대해 \(w_i \leq \text{bound}(\hat t, \hat w, T_i)\) 이어야 한다 \(\rightarrow\) 아래와 같이 proposal loss는 이를 위반하는 경우에 해당한다 \(L_{prop}(t, w, \hat t, \hat w) = \sum_{i}\frac{1}{w_i} \text{max}(0, w_i - \text{bound}(\hat t, \hat w, T_i))^2\)
즉, proposal-MLP가 NeRF-MLP의 upper-bound를 형성하도록 한다는 것은 proposal-MLP가 NeRF-MLP histogram의 개형을 따라잡도록 하는 효과!
proposal loss가 asymmetirc loss인 이유 : proposal-MLP가 NeRF-MLP보다 coarse하기 때문에 proposal-MLP weight가 NeRF-MLP weight의 upper bound를 형성하는 게 (overestimate) 당연하고, proposal-MLP weight가 NeRF-MLP weight를 underestimate (\(\text{bound}(\hat t, \hat w, T_i) < w_i\)) 하는 경우에만 penalize
proposal loss term에서 \(w_i\) 로 나누는 이유 : bound가 0일 때 \(\frac{dL_{prop}}{d\text{bound}} = \sum_{i} \frac{1}{w_i} \cdot 2 \cdot \text{max}(0, w_i - \text{bound}) \cdot (-1) = -2\sum_{i}1\) 와 같이 \(w_i\) 크기와 상관없이 gradient 값이 상수값이 되어 균등하게 penalize하여 optimization에 도움됨
위의 histogram이 NeRF-MLP, 아래의 histogram이 proposal-MLP, 보통 proposal-MLP가 coarse하고 NeRF-MLP가 fine한데 여기선 반대로 그려져 있음
fine NeRF-MLP는 점점 scene content의 surface 쪽으로 weight가 집중되고, coarse proposal-MLP는 이를 따라잡으며 upper bound를 형성
Regularization for Interval-Based Models
Artifacts : NeRF 계열은 pose 문제 때문에 두 가지 주된 artifacts가 나타난다
floater : 특정 view를 너무 잘 설명하려던 나머지 실제로 물체가 존재하지 않는 small disconnected regions of dense volume에서 불필요하게 opacity를 예측하여 다른 view에서 보면 반투명한 blurry cloud처럼 보이는 부분
background collapse : 멀리 있는 surface가 반투명한 가까운 content로 잘못 모델링된 경우
반투명하게 떠다니는 게 floater, 좌하단에서 background surface가 가깝게 보이는 게 background collapse
Artifacts 완화 :
기존 NeRF : random noise NeRF-Code 의 raw2outputs()에서 볼 수 있듯이 raw-opacity에 random noise 더해서 \(\sigma_{i}\) 구함 noise 덕분에 불필요한 특정 지점에 overfit 되는 게 아니라 일관성 있게 학습 But, 부분적으로 artifacts 완화하고 reconstruction quality를 떨어뜨림
Mip-NeRF 360 : regularize ray-sampling은 이미 했고 weight를 구할 때 물체가 있을만한 정확한 지점에서 집중적으로 예측하여 부정확한 지점에서의 불필요한 예측을 억제
Regularization for Interval-Based Models :
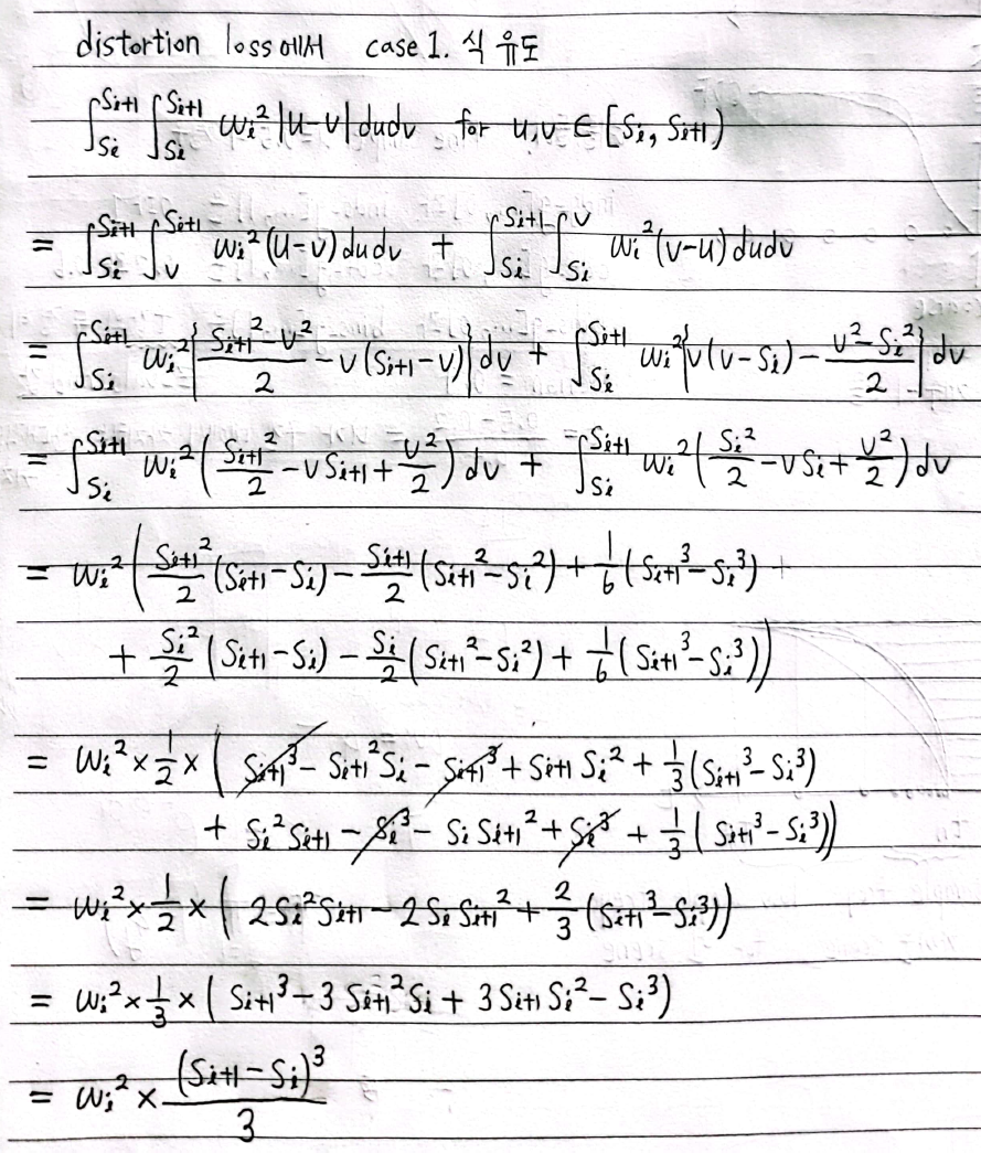
distortion loss : step-function인 weight-histogram \(s, w\) 을 regularize하기 위해 \(L_{dist}(s, w) = \int_{-\infty}^{\infty} \int_{-\infty}^{\infty} w_s(u)w_s(v)|u-v|d_ud_v\)
NeRF-MLP 업데이트할 때 artifacts 완화(regularization)하는 역할
위의 loss를 최소화하기 위해선 \(w\) 를 매우 작은 \(|u-v|\) 에 몰빵하면 된다 즉, 위의 loss term만 있을 경우 histogram(step-function)이 delta-function에 가까워지면 된다
t-distance 대신 s-distance 사용 : t-distance 사용하면 먼 거리에 있는 interval 길이가 길기 때문에 무조건 먼 거리의 interval 쪽으로 distortion 됨 s-distance 기준으로 weight-histogram 만들어서 distortion loss 구하자!
distortion loss :
weight \(w\) 는 step-function (각 interval 안에선 constant) 이므로 아래와 같이 계산하기 쉬운 꼴로 유도할 수 있음 \(L_{dist}(s, w) = \sum_{i, j} w_i w_j |\frac{s_i + s_{i+1}}{2} - \frac{s_j + s_{j+1}}{2}| + \frac{1}{3} \sum_{i} w_i^2 (s_{i+1} - s_i)\)
유도 과정 : 출처 : https://charlieppark.kr/
\(L_{dist}(s, w) = \int_{-\infty}^{\infty} \int_{-\infty}^{\infty} w_s(u)w_s(v)|u-v|d_ud_v\) where \(w_s(u) = w_i\) for \(u \in [s_i, s_{i+1})\)
case 1. \(u, v\) are in the same interval : \(u, v \in [s_i, s_{i+1})\) \(\int_{s_i}^{s_{i+1}}\int_{s_i}^{s_{i+1}}w_i^2|u-v|d_ud_v\) \(= w_i^2 \frac{(s_{i+1}-s_i)^3}{3}\)
case 2. \(u, v\) are in different intervals : \(u \in [s_i, s_{i+1}), v \in [s_j, s_{j+1})\) where \(i \neq j\) \(\int_{s_i}^{s_{i+1}}\int_{s_j}^{s_{j+1}}w_iw_j|u-v|d_ud_v\) \(\simeq \int_{s_i}^{s_{i+1}}\int_{s_j}^{s_{j+1}}w_iw_j|\frac{s_i + s_{i+1}}{2} - \frac{s_j + s_{j+1}}{2}|d_ud_v\) \(= w_iw_j|\frac{s_i + s_{i+1}}{2} - \frac{s_j + s_{j+1}}{2}|\cdot (s_{i+1}-s_i)(s_{j+1}-s_j)\)
\(u, v\) 가 same interval에 있을 경우에는 \((s_{i+1}-s_i)\) 항으로 각 구간의 (weighted) 너비를 줄이고, \(u, v\) 가 different interval에 있을 경우에는 \(|\frac{s_i + s_{i+1}}{2} - \frac{s_j + s_{j+1}}{2}|\) 항으로 두 구간 사이의 (weighted) 중심 거리를 줄임 이 원리를 통해 entire ray is unoccupied이 가능하다면 모든 weight가 0에 가까워지려 하고 불가능하다면 weight를 few interval에 몰빵하려 해서 weight-histogram이 delta-function에 가까워질 수 있음
Optimization
Setting :
proposal-MLPs with 4 layers and 256 hidden_dim two proposal-MLP \((\hat s^0, \hat w^0)\) and \((\hat s^1, \hat w^1)\) each using 64 samples
NeRF-MLP \((s, w)\) with 8 layers and 1024 hidden_dim one NeRF-MLP using 32 samples (NeRF와 Mip-NeRF에서는 MLP with 8 layers and 256 hidden_dim 사용했었음)
total loss : \(L_{tot} = L_{recon}(C(t), C^{\ast}) + \lambda L_{dist}(s, w) + \sum_{k=0}^{1}L_{prop}(s, w, \hat s^k, \hat w^k)\) averaged over all rays in batch where author sets \(\lambda = 0.01\)
\(L_{recon}\) and \(L_{dist}\) for NeRF-MLP
\(L_{recon}(x, x^{\ast}) = \sqrt{(x - x^{\ast})^2 + \epsilon^{2}}\) : Charbonnier loss slightly more stable than MSE
\(L_{prop}\) for proposal-MLP
learning schedule : 250k iter. with batch size \(2^{14}\) Adam optimizer with \(\beta_{1} = 0.9, \beta_{2} = 0.999, \epsilon = 10^{-6}\) lr is annealed log-linearly from \(2 \times 10^{-3}\) to \(2 \times 10^{-5}\) warm-up phase of 512 iter. gradient clipping to norm of \(10^{-3}\)
Conclusion
Mip-NeRF extension for real-world unbounded scenes with unconstrained camera depth and orientations
Q1 : 아래의 문구가 이해되지 않습니다 recall that the “bins” of those histograms \(t\) and \(\hat t\) need not be similar; indeed, if the proposal MLP successfully culls the set of distances where scene content exists, \(\hat t\) and \(t\) will be highly dissimilar
A1 : 아래 사진의 (c)에서처럼 충분히 optimize되어 만약 coarse proposal-MLP가 이미 scene content가 있는 곳을 성공적으로 예측하고 있다면 이를 이용한 fine NeRF-MLP의 fine-samples는 그 곳에 더 촘촘히 존재할 것이므로 bin 간격이 달라져서 두 histogram이 크게 달라보인다 달라보이더라도 두 개의 histogram이 어떤 하나의 (true continuous underlying) mass distribution에서 유래되었다고 설명할 수 있으면 둘의 차이가 0이라고 가정하여 upper bound를 이용해서 proposal loss 만듬
Q2 : 갑자기 든 생각인데 Mip-NeRF 360의 sampling 기법과 contract 함수가 background collapse의 원인이 될 수도 있지 않을까요? disparity에 비례하게 sampling하므로 먼 거리에 대해서는 덜 sampling한 채로 bounded space로 warp하는데, 먼 거리의 content에 대해 정보가 부족한 채로 warp하는 과정에서 왜곡이 일어날 수 있을 것 같다
Mip-NeRF 360의 IPE 식 : IPE를 하기 전에 우선 Gaussian을 radius-2의 구 안으로 contract 해야 해서 어차피 full covariance matrix \(\Sigma\) 가 필요하므로 PE-basis를 아래와 같이 둔다 (\(P\) 의 각 column이 twice-tessellated icosahedron(두 번 테셀레이션 된 정이십면체)의 unit-norm vertex이고, 음의 같은 방향으로 중복된 vertex는 제거) \(P = \begin{bmatrix} 0.8506508 & 0 & 0.5257311 \\ 0.809017 & 0.5 & 0.309017 \\ 0.5257311 & 0.8506508 & 0 \\ 1 & 0 & 0 \\ 0.809017 & 0.5 & -0.309017 \\ 0.8506508 & 0 & -0.5257311 \\ 0.309017 & 0.809017 & -0.5 \\ 0 & 0.5257311 & -0.8506508 \\ 0.5 & 0.309017 & -0.809017 \\ 0 & 1 & 0 \\ -0.5257311 & 0.8506508 & 0 \\ -0.309017 & 0.809017 & -0.5 \\ 0 & 0.5257311 & 0.8506508 \\ -0.309017 & 0.809017 & 0.5 \\ 0.309017 & 0.809017 & 0.5 \\ 0.5 & 0.309017 & 0.809017 \\ 0.5 & -0.309017 & 0.809017 \\ 0 & 1 & 0 \\ -0.5 & 0.309017 & 0.809017 \\ -0.809017 & 0.5 & 0.309017 \\ -0.809017 & 0.5 & -0.309017 \end{bmatrix}\)
column of PE-basis P
Mip-NeRF 360의 IPE 식 :
off-axis feature를 쓰면 anisotropic Gaussian의 모양까지 잘 encode할 수 있어서 rendering quality 향상
IPE 식에서 \(diag(\Sigma_{r}) = diag(P \Sigma P^T)\) 를 계산할 때 large \(P\) matrix에 대해 행렬곱을 하려면 너무 비싸므로 \(diag(P \Sigma P^T)\) 대신 \(\text{sum}(P^T \circledast (\Sigma P^T), \text{dim}=0, \text{keepdim=False})\) 로 계산하면 Mip-NeRF의 Axis-Aligned IPE보다 Mip-NeRF 360의 Off-Axis IPE가 살짝만 더 expensive
왼쪽은 Mip-NeRF의 Axis-Aligned IPE이고, 오른쪽은 Mip-NeRF 360의 Off-Axis IPE, 각 encoding basis로 Gaussian을 projection해서 marginal distribution을 구했을 때 Off-Axis Projection을 해야 Gaussian shape를 더 잘 구분할 수 있음
Annealing Weight
proposal-weight PDF로 fine-sampling할 때 proposal-weight \(\hat w\) 대신 \(\hat w_n \propto \hat w^{\frac{bn/N}{(b-1)n/N+1}}\) where \(n\) iter. out of \(N\) steps where 지수부분 \(\frac{bn/N}{(b-1)n/N+1}\) 은 0부터 1까지 빠르게 증가 where bias hyper-param. \(b=10\)
\(n=0\) 일 때는 \(\hat w_0 \propto 1\) 을 따라 sampling하고 \(n=N\) 일 때는 \(\hat w_N \propto \hat w\) 을 따라 sampling하므로 훈련 초기 단계에서 NeRF-MLP가 더 다양한 proposal-interval 범위를 모험(exploration)할 수 있도록 함
Dilation
proposal-weight PDF로 fine-sampling할 때 aliasing-artifacts 줄이기 위해 먼저 proposal-histogram \((\hat t, \hat w)\) 을 dilate
이유 : proposal-MLP는 오직 input ray로만 supervised되므로 특정 각도에 대해서만 예측 가능할 수 있다 (proposal-MLP는 rotationally aliased)
해결 : dilation proposal-MLP의 interval을 넓힘으로써 anti-aliasing 왜 interval 넓히면 anti-aliasing??? weight 변화가 급격하지 않아서???
Step 1) proposal-MLP의 histogram \((\hat s, \hat w)\) 에서 weight를 구간 길이로 나눈 뒤 normalize해서 probability density \(\hat p\) 로 만듬 \(\hat p_i = \frac{\hat w_i}{(\hat s_{i+1} - \hat s_{i})}\)
Step 2) dilation factor (얼만큼 각 구간을 넓힐지) 계산 fine intervals 개수가 많을수록 평균적인 구간 길이가 짧아지고 dilation factor가 작아짐 \(\epsilon = \frac{a}{\prod_{k'=1}^{k-1} n_{k'}} + b\) where \(k\) 번째 coarse-to-fine resampling 단계에서 \(n_k\) 개의 fine intervals을 resample
Step 3) 각 구간 \([\hat s_{i}, \hat s_{i+1}]\) 를 \([\hat s_{i} - \epsilon, \hat s_{i+1} + \epsilon]\) 로 확장
Step 4) 확장한 각 구간마다 probability density 최대값을 구함 \(\text{max}_{\hat s - \epsilon \leq s \lt \hat s + \epsilon} \hat p_{\hat s} (s)\) where \(\hat p_{\hat s} (s)\) is interpolation into the step function defined by \(\hat s, \hat p\) at \(s\)
Step 5) 다시 구간 길이로 곱한 뒤 normalize해서 weight-histogram으로 만듬
Sampling
Mip-NeRF :
sampling 방식 : coarse-histogram으로부터 \(n+1\) 개의 t-distance를 sampling한 뒤 각 fine-samples를 끝점으로 하여 \(n\) 개의 fine-intervals을 얻음
단점 : 아래 그림과 같이 samples가 coarse-histogram 각 구간의 전범위를 전부 span하지 못하여 일부 구간이 sampling에서 제외되므로(충분히 다뤄지지 않으므로) coarse-histogram의 영향을 서서히 약화시킴
Mip-NeRF 360 :
sampling 방식 : coarse-histogram으로부터 \(n\) 개의 s-distance를 sampling한 뒤 각 구간의 mid-points \(n-1\) 개와 coarse-sample의 양끝 점 2개를 끝점으로 하여 \(n\) 개의 fine-intervals를 얻음
효과 : samples가 coarse-histogram의 처음과 끝 구간도 전부 span하고 불규칙한 resampling도 감소하여 rendering quality는 큰 변화 없지만 aliasing 줄이는 데 도움됨
sampling한 건 막대로 표시하였고, 이로부터 8개의 fine-intervals를 얻음
Background Colors
NeRF와 Mip-NeRF :
훈련시킬 때 background color를 black or white로 설정하는데 scene recon.할 때 background가 반투명하게 reconstruct될 수도 있다
문제 : 반투명한 background는 view synthesis 자체에는 문제가 없지만 ray-termination-distance가 부정확하여 부정확한 depth-map을 생성할 수 있다
Mip-NeRF 360 :
Blender dataset : 이전과 똑같이 black or white로 background color 설정
360 and LLFF dataset : 훈련시킬 때 background color를 \([0, 1]^3\) 사이의 random color로 설정하여 scene recon.할 때 fully-opaque background이도록 함
Implementation Details
\(\mu, \Sigma\) 를 갖는 Gaussian에 non-linear \(f\) 를 적용하여 \(\mu_{c}, \Sigma_{c}\) 를 갖는 Gaussian으로 변형하기 위해 \((\mu_{c}, \Sigma_{c}) = (f(\mu), J_{f}(\mu) \Sigma J_{f}(\mu)^T)\) where \(f(x) \approx f(\mu) + J_{f}(\mu)(x-\mu)\) (linear approx.)
이 때, \(J_{f}(\mu)\) matrix는 autodiff framework로 직접 계산할 수 있지만 사실 우리는 직접 explicitly matrix를 만들 필요가 없음
less expensive 계산 위해 \(J_{f}(\mu)\)와 행렬곱하는 것과 똑같은 역할을 하는 함수를 이용 e.g. \(J_{f}(\mu) \Sigma J_{f}(\mu)^T\) 계산 위해 Jax의 linearize operator [4]를 두 번 적용