EE534 Pattern Recognition Final
Lecture Summary (24F)
Lecture :
24F EE534 Pattern Recognition
by KAIST Munchurl Kim VICLab
Chapter 5. Linear Discriminant Functions
Linearly Non-Separable SVM
- new constraint :
\(y_{i} (\boldsymbol w^{T} \boldsymbol x_{i} + w_{0}) \geq 1 - \xi_{i}\)
\(\xi_{i}\) 를 도입하여 이제는 inside margin or misclassified 도 가능하지만 대신 \(C \sum_{i=1}^{N} \xi_{i}\) 를 loss에 넣어서 큰 \(\xi_{i}\) 값을 penalize - \(\xi = 0\) : outside margin or support vector
- \(0 \lt \xi \leq 1\) : inside margin (correctly classified, but margin violation)
- \(\xi \gt 1\) : misclassified
- 방법 1) 1-norm-soft-margin
- constrained primal form :
minimize \(J(\boldsymbol w, \xi) = \frac{1}{2} \| \boldsymbol w \|^{2} + C \sum_{i=1}^{N} \xi_{i}\)
subject to \(y_{i} (\boldsymbol w^{T} \boldsymbol x_{i} + w_{0}) \geq 1 - \xi_{i}\) and \(\xi_{i} \geq 0\) - unconstrained primal form :
이 때 위의 두 가지 constraints는 \(\xi_{i} = \text{max}(0, 1 - y_{i} (\boldsymbol w^{T} \boldsymbol x_{i} + w_{0}))\) 로 하나로 합칠 수 있음
따라서
minimize \(J(\boldsymbol w, \xi) = \frac{1}{2} \| \boldsymbol w \|^{2} + C \sum_{i=1}^{N} \text{max}(0, 1 - y_{i} (\boldsymbol w^{T} \boldsymbol x_{i} + w_{0}))\) - regularization param. \(C\) :
- small \(C\) : 큰 \(\xi_{i}\) 값도 허용하므로 margin 커짐
- large \(C\) : 큰 \(\xi_{i}\) 값은 허용 안 하므로 margin 작아짐
- \(C = \infty\) : non-zero \(\xi_{i}\) 값 허용 안 하므로 hard margin (no sample inside margin)
(Linearly Separable SVM 에 해당함)
- Lagrangian :
minimize \(L(\boldsymbol w, w_{0}, \xi, \boldsymbol \lambda, \boldsymbol \mu) = \frac{1}{2} \| \boldsymbol w \|^{2} + C \sum_{i=1}^{N} \xi_{i} - \sum_{i}^{N} \mu_{i} \xi_{i} - \sum_{i}^{N} \lambda_{i} (y_{i} (\boldsymbol w^{T} \boldsymbol x_{i} + w_{0}) - (1 - \xi_{i}))\)
subject to \(\xi_{i}, \mu_{i}, \lambda_{i} \geq 0\) - \[\nabla_{\boldsymbol w} L = 0 \rightarrow \boldsymbol w = \sum_{i=1}^{N} \lambda_{i} y_{i} \boldsymbol x_{i}\]
- \[\nabla_{w_{0}} L = 0 \rightarrow \sum_{i=1}^{N} \lambda_{i} y_{i} = 0\]
- \[\nabla_{\xi_{i}} L = 0 \rightarrow C - \mu_{i} - \lambda_{i} = 0\]
- KKT condition 중 slackness condition :
- \[\lambda_{i} (y_{i} (\boldsymbol w^{T} \boldsymbol x_{i} + w_{0}) - (1 - \xi_{i})) = 0\]
- \[\mu_{i} \xi_{i} = 0\]
- dual form :
위의 세 가지 식을 대입하여 \(\boldsymbol w, w_{0}, \xi_{i}, \mu_{i}\) 를 소거하면
maximize \(L(\lambda) = \sum_{i=1}^{N} \lambda_{i} - \frac{1}{2} \sum_{i=1}^{N} \sum_{j=1}^{N} \lambda_{i} \lambda_{j} y_{i} y_{j} \boldsymbol x_{i}^{T} \boldsymbol x_{j}\)
subject to \(\sum_{i=1}^{N} \lambda_{i} y_{i} = 0\) and \(0 \leq \lambda_{i} \leq C\) - Summary :
- Step 1) optimal \(\lambda_{i}^{\ast}\) 구하기
\(\sum_{i=1}^{N} \lambda_{i} y_{i} = 0\) and \(0 \leq \lambda_{i} \leq C\) 이용해서
\(\nabla_{\lambda_{i}} L = 0\) 으로 아래의 dual form 풀어서
(maximize \(L(\lambda) = \sum_{i=1}^{N} \lambda_{i} - \frac{1}{2} \sum_{i=1}^{N} \sum_{j=1}^{N} \lambda_{i} \lambda_{j} y_{i} y_{j} \boldsymbol x_{i}^{T} \boldsymbol x_{j}\))
optimal \(\lambda_{i}\) 얻음 - Step 2) optimal \(\boldsymbol w^{\ast}, w_{0}^{\ast}\) 구하기
- \(\boldsymbol w^{\ast} = \sum_{i=1}^{N_{s}} \lambda_{i}^{\ast} y_{i} x_{i}\)
(\(N_{s}\) : support vector 개수)
(hyperplane 결정할 때는 \(\lambda_{i} \gt 0\) 중에 \(\xi = 0\) 인 support vectors만 고려!!) - \(w_{0}^{\ast} = \frac{1}{y_{j}} - \sum_{i=1}^{N_{s}} \lambda_{i}^{\ast} y_{i} x_{i}^{T} x_{j} = \frac{1}{y_{j}} - \boldsymbol w^{\ast T} x_{j}\)
(support vector \(x_{j}\) 1개 사용)
또는
\(w_{0}^{\ast} = \frac{1}{N_{s}} \sum_{j=1}^{N_{s}} (\frac{1}{y_{j}} - \sum_{i=1}^{N_{s}} \lambda_{i}^{\ast} y_{i} x_{i}^{T} x_{j}) = \frac{1}{N_{s}} \sum_{j=1}^{N_{s}} (\frac{1}{y_{j}} - \boldsymbol w^{\ast T} x_{j})\)
(support vector \(x_{j}\) \(N_{s}\)-개 모두 사용하여 average value)
- Tip : hard margin (no sample inside margin) 의 경우
육안으로 어떤 sample이 support vector일지 판단 가능하다면
complementary slackness condition (\(\lambda_{i} (y_{i} (\boldsymbol w^{T} \boldsymbol x_{i} + w_{0}) - (1 - \xi_{i})) = 0\)) 에서
support vector만 \(\lambda_{i} \gt 0\) 이므로
연립해서 \(\boldsymbol w^{\ast}, w_{0}^{\ast}\) 바로 구할 수 있음
- 방법 2) 2-norm-soft-margin
- 차이점 1) primal form
minimize \(J(\boldsymbol w, \xi) = \frac{1}{2} \| \boldsymbol w \|^{2} + C \sum_{i=1}^{N} \xi_{i}\)
subject to \(y_{i} (\boldsymbol w^{T} \boldsymbol x_{i} + w_{0}) \geq 1 - \xi_{i}\) and \(\xi_{i} \geq 0\)
대신
minimize \(J(\boldsymbol w, \xi) = \frac{1}{2} \| \boldsymbol w \|^{2} + \frac{1}{2} C \sum_{i=1}^{N} \xi_{i}^{2}\)
subject to \(y_{i} (\boldsymbol w^{T} \boldsymbol x_{i} + w_{0}) \geq 1 - \xi_{i}\) and \(\xi_{i} \geq 0\) - 차이점 2) Lagrangian
\(\nabla_{\xi_{i}} L(\boldsymbol w, w_{0}, \boldsymbol \xi, \boldsymbol \lambda, \boldsymbol \mu) = 0\) 했을 때
\(C - \mu_{i} - \lambda_{i} = 0\)
대신
\(C \xi_{i} - \mu_{i} - \lambda_{i} = 0\) - 차이점 3) dual form
maximize \(L(\lambda) = \sum_{i=1}^{N} \lambda_{i} - \frac{1}{2} \sum_{i=1}^{N} \sum_{j=1}^{N} \lambda_{i} \lambda_{j} y_{i} y_{j} \boldsymbol x_{i}^{T} \boldsymbol x_{j}\)
subject to \(\sum_{i=1}^{N} \lambda_{i} y_{i} = 0\) and \(0 \leq \lambda_{i} \leq C\)
대신
maximize \(L(\lambda) = \sum_{i=1}^{N} \lambda_{i} - \frac{1}{2} \sum_{i=1}^{N} \sum_{j=1}^{N} \lambda_{i} \lambda_{j} y_{i} y_{j} \boldsymbol x_{i}^{T} \boldsymbol x_{j} - \frac{1}{2C} \sum_{i=1}^{N} (\lambda_{i} + \mu_{i})^{2}\)
subject to \(\sum_{i=1}^{N} \lambda_{i} y_{i} = 0\) and \(0 \leq \lambda_{i} \leq C\)
- Remark :
- Linearly Non-Separable SVM에서
\(C \rightarrow \infty\) 하면 Linearly Separable SVM
e.g. non-linear에서는 \(0 \leq \lambda_{i} \leq C\) 인데, linear에서는 \(0 \leq \lambda_{i} \lt \infty\) - SVM의 한계 :
high computational complexity
(SVM training은 주로 batch mode로 진행되어 memory를 많이 필요로 하므로
training dataset을 subset으로 나눠서 training 진행) - 지금까지는 SVM for two-category만 살펴봤는데,
M-class 의 경우 M개의 discriminant function \(g_{i}(x)\) 를 design하여
assign \(x\) to class \(w_{i}\) if \(i = \text{argmax}_{k} g_{k}(x)\)
v-SVM
- v-SVM :
- hyperplane
\(\boldsymbol w^{T} \boldsymbol x_{i} + w_{0} = \pm 1\)
대신
\(\boldsymbol w^{T} \boldsymbol x_{i} + w_{0} = \pm \rho\)
where \(\rho \geq 0\) : var. to be optimized - margin
margin은 \(\frac{2 \rho}{\| w \|}\) 이므로
margin을 maximize하려면
\(\| w \|\) minimize 뿐만 아니라 \(\rho\) maximize하면 되므로
둘 다 primal form loss term에 넣음 - primal form
minimize \(J(\boldsymbol w, \xi, \rho) = \frac{1}{2} \| \boldsymbol w \|^{2} - v \rho + \frac{1}{N} \sum_{i=1}^{N} \xi_{i}\)
subject to \(y_{i} (\boldsymbol w^{T} \boldsymbol x_{i} + w_{0}) \geq \rho - \xi_{i}\) and \(\xi_{i} \geq 0\) and \(\rho \geq 0\) - Lagrangian
\(L(\boldsymbol w, w_{0}, \boldsymbol \xi, \rho, \boldsymbol \lambda, \boldsymbol \mu, \delta) = \frac{1}{2} \| \boldsymbol w \|^{2} - v \rho + \frac{1}{N} \sum_{i=1}^{N} \xi_{i} - \sum_{i}^{N} \mu_{i} \xi_{i} - \sum_{i}^{N} \lambda_{i} (y_{i} (\boldsymbol w^{T} \boldsymbol x_{i} + w_{0}) - (\rho - \xi_{i})) - \delta \rho\) - \(\nabla_{\boldsymbol w} L = 0\) 했을 때
\(\boldsymbol w = \sum_{i=1}^{N} \lambda_{i} y_{i} \boldsymbol x_{i}\) - \(\nabla_{w_{0}} L = 0\) 했을 때
\(\sum_{i=1}^{N} \lambda_{i} y_{i} = 0\) - \(\nabla_{\xi_{i}} L = 0\) 했을 때
\(\mu_{i} + \lambda_{i} = \frac{1}{N}\) - \(\nabla_{\rho} L = 0\) 했을 때
\(\sum_{i=1}^{N} \lambda_{i} - \delta = v\)
- KKT condition 중 complementary slackness
For \(\lambda_{i} \geq 0\) and \(\mu_{i} \geq 0\) and \(\delta \geq 0\), - \[\lambda_{i} (y_{i}(\boldsymbol w^{T} \boldsymbol x + w_{0}) - (\rho - \xi_{i})) = 0\]
- \[\mu_{i} \xi_{i} = 0\]
- \[\delta \rho = 0\]
- dual form
maximize \(L(\lambda) = - \frac{1}{2} \sum_{i=1}^{N} \sum_{j=1}^{N} \lambda_{i} \lambda_{j} y_{i} y_{j} \boldsymbol x_{i}^{T} \boldsymbol x_{j}\)
subject to \(\sum_{i=1}^{N} \lambda_{i} y_{i} = 0\) and \(0 \leq \lambda_{i} \leq \frac{1}{N}\) and \(\sum_{i=1}^{N} \lambda_{i} = \delta + v \geq v\) - \(\lambda\) 만 explicitly 남아 있고,
margin var. \(\rho\) 와 slack var. \(\xi_{i}\) 는 constraint의 bounds에 implicitly 들어 있음 - v-SVM에서는 \(\sum_{i=1}^{N} \lambda_{i}\) term이 없으므로
optimal \(\lambda_{i}\) 는 quadratically homogeneous solution - 새로운 constraint \(\sum_{i=1}^{N} \lambda_{i} \geq v\) 있음
- Remark
- v-SVM의 경우 \(0 \leq v \leq 1\) 이어야 optimizable
- C-SVM에 비해 v-SVM은
error rate와 support vector 수 bound 측면에서 장점 ??? - \(\rho \gt 0\) 일 때 \(\delta = 0\) 이므로
\(\sum_{i=1}^{N} \lambda_{i} = v\) - loss (error)에 기여하는 애들은
\(\xi_{i} \gt 0\), 즉 \(\mu_{i} = 0\), 즉 \(\lambda_{i} = \frac{1}{N}\) 이다
따라서 error rate = \(\sum_{i=1}^{N_{error}} \lambda_{i} = \frac{N_{error}}{N} \leq \sum_{i=1}^{N} \lambda_{i} = v\)
즉, error rate \(\frac{N_{error}}{N} \leq v\) 이고
total number errors \(N_{error} \leq N v\) - Since \(0 \lt \lambda_{i} \lt 1\) for support vector \(i\),
\(v = \sum_{i=1}^{N} \lambda_{i} = \sum_{i=1}^{N_{s}} \lambda_{i} \leq \sum_{i=1}^{N_{s}} \frac{1}{N} = \frac{N_{s}}{N}\)
즉, \(vN \leq N_{s}\)
(\(\lambda_{i} \gt 0\) 중에 \(\xi = 0\) 인 support vectors만 고려하면 \(\sum_{i=1}^{N} \lambda_{i} = \sum_{i=1}^{N_{s}}\) !!) - \(\frac{N_{error}}{N} \leq v \leq \frac{N_{s}}{N}\) 이므로
\(v\) optimize하면 error rate와 support vector 개수도 bound 알 수 있음 - support vector 수 \(N_{s}\) 는 classifier performance에 있어서 매우 중요
(\(N_{s}\) 가 클수록 inner product 많이 계산해야 돼서 computational cost 높아짐)
(\(N_{s}\) 가 크면 training set 이외의 data에 대한 performance가 제한되어 poor generalization)
Kernel Method for SVM
-
discriminant function :
\(x\) 의 inner product 꼴
\(g(\boldsymbol x) = \boldsymbol w^{T} \boldsymbol x + w_{0} = \sum_{i=1}^{N_{s}} \lambda_{i} y_{i} \boldsymbol x_{i}^{T} \boldsymbol x + w_{0}\)
-
Cover’s theorem :
non-linearly separable D-dim. space는
linearly separable space of high enough dim. 으로 transform 될 수 있다
(separating hyperplane의 optimality는 관심사 아님)
-
Kernel Method for SVM :
discriminant function \(g(\boldsymbol x) = \boldsymbol w^{T} \boldsymbol x + w_{0} = \sum_{i=1}^{N_{s}} \lambda_{i} y_{i} \boldsymbol x_{i}^{T} \boldsymbol x + w_{0}\) 에서
kernel \(K(\boldsymbol x_{i}, \boldsymbol x) = \boldsymbol x_{i}^{T} \boldsymbol x\)
(inner product b.w. support vector and input vector)
대신
다른 kernel \(K(\boldsymbol x_{i}, \boldsymbol x) = \Phi(\boldsymbol x_{i})^{T} \Phi(\boldsymbol x)\) 을 써서
non-linearly separable samples도 분류해보자!
- Step 1)
input vector \(\boldsymbol x\) 와 training samples \(\boldsymbol x_{i}\) 를 high-dim.으로 project by function \(\Phi(\cdot)\) - Step 2)
transformed vector \(\Phi (\boldsymbol x)\) 와 \(\Phi (\boldsymbol x_{i})\) 에 대해 linear SVM 적용
\(g(\boldsymbol x) = \boldsymbol w^{T} \Phi (\boldsymbol x) + w_{0}\)
-
Kernel Trick :
\(\boldsymbol x_{i}^{T} \boldsymbol x_{j}\) 대신 \(K(\boldsymbol x_{i}, \boldsymbol x_{j}) = \Phi(\boldsymbol x_{i})^{T} \Phi(\boldsymbol x_{j})\) 쓰면 됨!! - optimization of dual form :
maximize \(L(\lambda) = \sum_{i=1}^{N} \lambda_{i} - \frac{1}{2} \sum_{i=1}^{N} \sum_{j=1}^{N} \lambda_{i} \lambda_{j} y_{i} y_{j} \boldsymbol x_{i}^{T} \boldsymbol x_{j}\)
대신
maximize \(L(\lambda) = \sum_{i=1}^{N} \lambda_{i} - \frac{1}{2} \sum_{i=1}^{N} \sum_{j=1}^{N} \lambda_{i} \lambda_{j} y_{i} y_{j} K(\boldsymbol x_{i}, \boldsymbol x_{j})\)
where \($K(\boldsymbol x_{i}, \boldsymbol x_{j}) = \Phi(\boldsymbol x_{i})^{T} \Phi(\boldsymbol x_{j})\) - hyperplane :
\(g(\boldsymbol x) = \boldsymbol w^{T} \boldsymbol x + w_{0} = \sum_{i=1}^{N_{s}} \lambda_{i} y_{i} \boldsymbol x_{i}^{T} \boldsymbol x + w_{0} = 0\)
대신
\(g(\boldsymbol x) = \boldsymbol w^{T} \Phi(\boldsymbol x) + w_{0} = \sum_{i=1}^{N_{s}} \lambda_{i} y_{i} \Phi(\boldsymbol x_{i})^{T} \Phi(\boldsymbol x) + w_{0} = \sum_{i=1}^{N_{s}} \lambda_{i} y_{i} K(\boldsymbol x_{i}, \boldsymbol x) + w_{0} = 0\)
where \(\boldsymbol w = \sum_{i=1}^{N_{s}} \lambda_{i} y_{i} \Phi(\boldsymbol x_{i})\)
- Remark :
- polynomial learning machine, radial-basis function network, two-layer perceptron(single hidden layer) 와 같은
kernel-based learning machine을 만들 때
support vector learning algorithm을 사용 - polynomial :
\(K(x, z) = (x^{T} z + 1)^{q}\) for \(q \gt 0\) - radial-basis function :
\(K(x, z) = \text{exp}(-\frac{\| x - z \|^{2}}{\sigma^{2}})\) - hyperbolic tangent :
\(K(x, z) = \text{tanh}(\beta x^{T} z + \gamma)\) where typical value is \(\beta = 2\) and \(\gamma = 1\)
- 문제 풀이 예시 :
Chapter 6. Multilayer Neural Networks
- activation function :
- unipolar sigmoid :
\(\phi (x) = \frac{1}{1 + exp(-x)}\)
\(\phi^{'} (x) = \phi (x) (1 - \phi (x))\) - bipolar sigmoid (tanh) :
\(\phi (x) = \text{tanh} (x) = \frac{e^{x} - e^{-x}}{e^{x} + e^{-x}}\)
\(\phi^{'} (x) = 1 - \text{tanh}^{2} (x) = 1 - \phi^{2} (x)\) - tanh가 sigmoid보다 gradient 더 커서 같은 \(\eta\) 일 때 학습 더 많이 함
- ReLU
- weight initialization :
- zero-mean uniform distribution \(U(0, \sigma^{2})\)
where \(\sigma^{2}\) is chosen so that std of induced local fields of neurons lie in the linear transition interval of sigmoid activation function
- weight update :
\(w_{ji}(n+1) = w_{ji}(n) + \eta \delta_{j} (n) y_{i} (n) + \alpha (w_{ji} (n) - w_{ji} (n-1))\)
where \(\eta\) : learning rate
where \(\alpha\) : momentum constant
(momentum in back-prop has stabilizing effect when gradient has oscillate in sign)
Back-propagation Algorithm
Issues on Neural Networks
- Stopping criteria :
- Euclidean norm of gradient reaches sufficiently small threshold
- absolute rate of change in average squared error per epoch is sufficiently small
- generalization performance (tested after each iter.) has peaked
- Weight Update :
- sample-by-sample mode :
weights are updated after presenting each training sample
\(w_{ji}(n+1) = w_{ji}(n) + \eta \delta_{j} (n) y_{i} (n) + \alpha (w_{ji} (n) - w_{ji} (n-1))\) - very sensitive to each sample so that the weight update term is very noisy
- batch mode :
weights are updated after presenting entire set of training samples
\(w_{ji}(t+1) = w_{ji}(t) + \eta \frac{1}{N} \sum_{n=1}^{N} \delta_{j} (n) y_{i} (n) + \alpha (w_{ji} (t) - w_{ji} (t-1))\)
- k-fold cross validation :
- Normalization : Whitening
- mean removal
- de-correlation
- scaling for equal covariance
(then input var. in training set becomes uncorrelated)
(then gradient descent converges faster)
- Gradient Vanish 해결 방법 :
- 방법 1) Batch Normalization
Batch Normalization을 해서 input이 \(0\) 주위의 가파른 부분에 머무르도록 함
근데 sigmoid의 경우 gradient가 [0, 0.25] 이고, tanh의 경우 gradient가 [0, 1] 이므로
여전히 gradient vanishing 문제 발생 - 방법 2) ReLU activation
ReLU의 gradient는 0 또는 1이므로
gradient value 1의 경우 gradient vanishing 문제 없음 - 방법 3) Residual Network
skip connection 사용하여
non-linear activation 통과하지 않고 바로 gradient가 흘러들어갈 수 있도록 함
- Bias-Variance dilemma :
- prediction error의 종류로는 bias, variance, irreducible error가 있음
MSE \(E_{x, y, D}[\epsilon^{2} (x)] = E_{x, y, D}[(h_{D}(x) - y)^{2}]\)
\(= E_{x, D}[(h_{D}(x) - \bar h(x))^{2}] + E_{x}[(\bar h(x) - \bar y(x))^{2}] + E_{x, y}[(\bar y(x) - y)^{2}]\) - variance of model : \(E_{x, D}[(h_{D}(x) - \bar h(x))^{2}]\)
where \(h_{D}(x)\) : model output
where \(\bar h(x)\) : model mean - different test dataset으로 테스트했을 때 변하는 정도
- particular training dataset에 overfitting된 정도
- bias of model : \(\bar h(x) - \bar y(x)\)
where \(\bar y(x)\) : label mean - data를 아무리 많이 학습시켜도 model 특성 때문에 발생하는 inherent error
e.g. linear classifier is biased to a particular kind of solution
- data noise : \(E_{x, y}[(\bar y(x) - y)^{2}]\)
- ambiguity due to data distribution and feature representation
- trade-off :
- too simple model : high bias
\(\rightarrow\) 해결법 : pick more complex model - too complex model : high variance
\(\rightarrow\) naive 해결법 : use more data, but it requires high cost
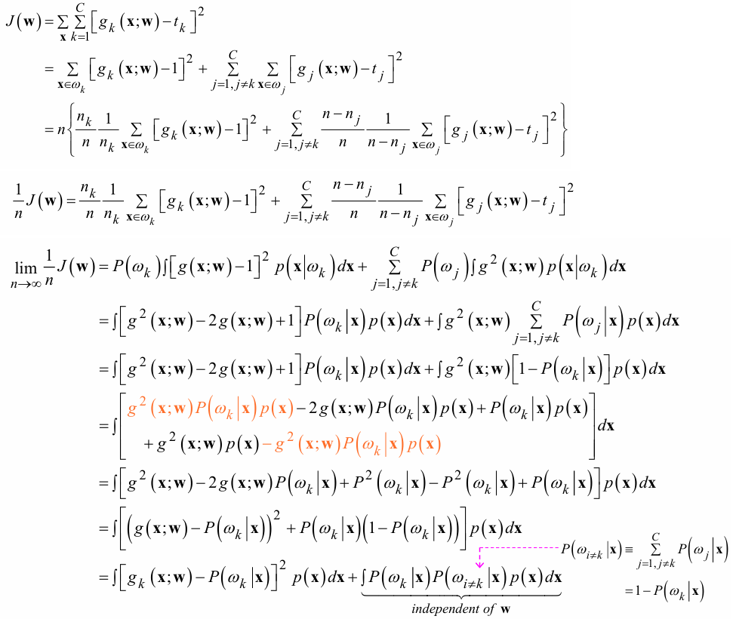
- SSE (Sum of Squared Errors) :
위의 유도 결과에서
두 번째 term은 model weight와 무관하므로
back-propagation은 첫 번째 term만 minimize
즉, \(y_{k}(x; W) \approx P(w_{k} | x)\)
이 때, 잘 approx.하려면 model이 충분한 layers, neurons를 가지고 있어야 함 - \(y_{k}(x; W)\) : model output
-
| $$P(w_{k} | x)$$ : true posteriori probability (Bayes linear discriminant function) |
Chapter 7. Stochastic Methods for Pattern Classification
- Learning :
- deterministic learning :
무조건 loss 작아지는 방향으로 이동
e.g. gradient descent - stochastic learning :
작은 확률이겠지만 energy 커지는 방향으로 이동하는 것도 허용
\(\rightarrow\) local minima에 빠지는 문제 해결하여 global minimum에 도달 가능 e.g. Simulated Annealing, Boltzmann Machine
- Boltzmann Machine :
- neuron :
- visible neuron : \(\alpha = \{ \alpha^{i}, \alpha^{o} \}\)
- hidden neuron : \(\beta\)
- probability \(P(\alpha) = \sum_{\beta} P(\alpha \beta) = \sum_{\beta} \frac{e^{- E_{\alpha \beta} / T}}{Z} = \sum_{\beta} \frac{e^{- E_{\alpha \beta} / T}}{\sum_{\alpha \beta} e^{- E_{\alpha \beta} / T}}\)
where energy \(E_{\gamma} = - \frac{1}{2} \sum_{i=1}^{N} \sum_{j=1}^{N} w_{ij} s_{i} s_{j}\)
where \(w_{ij} = w_{ji}\) is symmetric with \(w_{ii} = 0\)
즉, energy \(E_{\gamma}\) 가 낮을수록 configuration \(\alpha\) 일 확률 \(P(\alpha)\) 가 높음 - goal :
\(P(\alpha)\) 가 \(Q(\alpha)\) 와 최대한 가까워지도록
weight \(w_{ij}\) 를 학습 - marginal (estimated) distribution of generated samples \(P(\alpha)\) :
network가 free-running일 때 (all neurons가 자유롭게 업데이트될 수 있을 때)
visible neuron이 \(\alpha\) 일 확률 - observed (desired) distribution of training samples \(Q(\alpha)\) :
network의 visible neuron이 \(\alpha\) 로 clamped되었을 때
visible neuron이 \(\alpha\) 일 확률 - KL-divergence \(D_{KL} (Q(\alpha), P(\alpha)) = \sum_{\alpha} Q(\alpha) \text{log} \frac{Q(\alpha)}{P(\alpha)}\) 를 minimize하면
\(\Delta w_{ij} = - \eta \frac{\partial D_{KL}}{\partial w_{ij}} = \eta \sum_{\alpha} \frac{Q(\alpha)}{P(\alpha)} \frac{\partial P(\alpha)}{\partial w_{ij}} = \frac{\eta}{2T}(\sum_{\alpha \beta} Q(\alpha) P(\beta | \alpha) s_{i} s_{j} - \sum_{\alpha^{'} \beta^{'}} P(\alpha^{'} \beta^{'}) s_{i} s_{j}) = \frac{\eta}{2T}(E_{Q}[s_{i} s_{j}]_{\text{clamped by} \alpha} - E[s_{i} s_{j}]_{\text{free}})\)
(pf는 아래에)
- Boltzmann Machine with I-O Association :
- neuron :
- visible neuron :
- input neuron : \(\alpha\)
- output neuron : \(\gamma\)
- hidden neuron : \(\beta\)
- goal :
\(P(\gamma | \alpha)\) 가 \(Q(\gamma | \alpha)\) 와 최대한 가까워지도록
weight \(w_{ij}\) 를 학습 - KL-divergence \(D_{KL} (Q(\gamma | \alpha), P(\gamma | \alpha)) = D_{KL} (Q(\alpha \gamma), P(\alpha \gamma)) - D_{KL} (Q(\alpha), P(\alpha))\) 를 minimize하면
\(\Delta w_{ij} = \frac{\eta}{2T}(E_{Q}[s_{i} s_{j}]_{\text{clamped by} \alpha \gamma} - E[s_{i} s_{j}]_{\text{clamped by} \alpha})\)
(pf는 아래에)
- Restricted Boltzmann Machine (RBM) :
Boltzmann Machine with bi-partite graph of visible and hidden units - probability \(P(v) = \sum_{h} P(v, h) = \sum_{h} \frac{e^{- E(v, h)}}{Z}\)
where (intractable) partition function \(Z = \sum_{v, h} e^{- E(v, h)}\)
where energy \(E(v, h) = - h^{T} W v - b^{T} v - c^{T} h\) for \(T=1\) - goal :
training dataset의 distribution을 학습!! - 훈련 끝나고나면 해당 distribution을 따르는 new sample을 generate할 수 있음!! image inpainting에도 적용 가능
- label과의 joint distribution을 학습하여 classification 수행 가능!! feed-forward layer를 initialize할 때 RBM weight 사용 가능
- feature extractor 역할 수행 가능!!
- Training RBM 수식 유도 :
- weight \(\theta = [W, b, c]\) 에 대해
\(\hat \theta = \text{argmax}_{\theta} \text{ln} P(v | \theta) = \text{argmax}_{\theta} \text{ln} \sum_{h} \frac{e^{- E(v, h | \theta)}}{Z} = \text{argmax}_{\theta} \text{ln} \sum_{h} e^{- E(v, h | \theta)} - \text{ln} Z\)
\(\rightarrow\)
\(\frac{\partial - \text{ln} P(v | \theta)}{\partial \theta} = \cdots = \sum_{h} P(h | v, \theta) \frac{\partial E(v, h | \theta)}{\partial \theta} - \sum_{v, h} P(v, h | \theta) \frac{\partial E(v, h | \theta)}{\partial \theta} = E_{h \sim P(h | v, \theta)}[\frac{\partial E(v, h | \theta)}{\partial \theta}] - E_{(v, h) \sim P(v, h | \theta)}[\frac{\partial E(v, h | \theta)}{\partial \theta}]\) - 오른쪽 expectation 식 :
model distribution \(P(v, h | \theta)\) 의 모든 경우의 수에 대해 expectation \(E[\cdot]\) 계산하려면 \(2^{m+n}\) 로 costly하므로
MCMC (Markov chain Monte Carlo) 기법으로 해당 distribution에서 Gibbs sampling 수행하여
오른쪽 expectation 식을 sample mean으로 approx.
- RBM의 경우 visible units끼리, hidden units끼리는 connection 없으므로
given visible units에 대해 hidden units끼리는 conditionally independent하므로
같은 layer에 있는 units는 쉽게 jointly(동시에) Gibbs sampling 가능
\(\rightarrow\)
Gibbs sampling은 두 단계로 요약 가능 (block Gibbs sampling) - Step 1)
sample \(h\) based on \(P(h | v)\) - Step 2)
sample \(v\) based on \(P(v | h)\)
- Conditional Distribution :
proof는 아래 아래 사진에 - \[P(h_{i} = 1 | v) = \sigma (\sum_{j=1}^{m} w_{ij} v_{j} + c_{i}) = \sigma (\boldsymbol w_{i} \cdot \boldsymbol v + c_{i})\]
- \[P(v_{j} = 1 | h) = \sigma (\sum_{i=1}^{n} w_{ij} h_{i} + b_{j}) = \sigma (\boldsymbol w_{j} \cdot \boldsymbol h + b_{j})\]
- Training RBM 수식 유도 (continued) :
- goal :
\(P(v | \theta)\) 가 \(Q(v)\) 와 최대한 가까워지도록
weight \(W, b, c\) 를 학습 -
- Gradient of Log-Likelihood :
(proof는 아래 사진에)
Let’s define
\(\boldsymbol h (\boldsymbol v_{0}) = P(\boldsymbol h = \boldsymbol 1 | \boldsymbol v_{0}, \theta) = \sigma(\boldsymbol W \boldsymbol v_{0} + \boldsymbol b)\)
\(\boldsymbol v_{0} \in S\) : clamped training sample where \(S\) is training dataset
\(\boldsymbol v_{k}\) : generated sample by RBM
KL-divergence \(D_{KL} (Q(v), P(v | \theta)) = \sum_{v} Q(v) \text{log} \frac{Q(v)}{P(v | \theta)}\) 를 minimize하려면 - \[\Delta W \propto \frac{1}{N} \sum_{\boldsymbol v_{0} \in S} \boldsymbol h (\boldsymbol v_{0}) \boldsymbol v_{0}^{T} - \boldsymbol h (\boldsymbol v_{k}) \boldsymbol v_{k}^{T}\]
- \[\Delta b \propto \frac{1}{N} \sum_{\boldsymbol v_{0} \in S} \boldsymbol v_{0}^{T} - \boldsymbol v_{k}^{T}\]
- \[\Delta c \propto \frac{1}{N} \sum_{\boldsymbol v_{0} \in S} \boldsymbol h (\boldsymbol v_{0}) - \boldsymbol h (\boldsymbol v_{k})\]
- k-step Contrastive Divergence :
model expectation은 exponential cost 가지므로
sampling from RBM distribution
대신
k-step sampling from Gibbs chain initialized with training data
Then, \(\frac{\partial - \text{ln} P(v | \theta)}{\partial \theta} \approx \sum_{h} P(h | v_{0}) \frac{\partial E(v_{0}, h)}{\partial \theta} - \sum_{h} P(h | v_{k}) \frac{\partial E(v_{k}, h)}{\partial \theta}\)
- Training RBM Summary :
- Step 1)
Positive Phase
training sample \(\boldsymbol v_{0}\) 에서 시작하여
sample \(h_{i}\) from \(Q(h_{i} = 1 | v_{j}) = \sigma (\boldsymbol w_{i} \cdot \boldsymbol v + c_{i})\)
\(\rightarrow\)
\(h_{i} = \begin{cases} 1 & \text{if} & \text{rand}(0, 1) \lt Q(h_{i}=1 | v_{j}) \\ 0 & \text{O.W.} & \text{} \end{cases}\) - Step 2)
Negative Phase (Recon. Phase)
sample \(v_{j}\) from \(P(v_{j} = 1 | h_{i}) = \sigma (\boldsymbol w_{j} \cdot \boldsymbol h + b_{j})\)
\(\rightarrow\)
\(v_{j} = \begin{cases} 1 & \text{if} & \text{rand}(0, 1) \lt P(v_{j}=1 | h_{i}) \\ 0 & \text{O.W.} & \text{} \end{cases}\) - Step 3) 위의 과정을 k-step 반복
\(\boldsymbol v_{0}\) 으로부터 \(\boldsymbol h(\boldsymbol v_{0})\) 얻고
\(\cdots\) (Gibbs sampling k-step 반복) \(\cdots\)
\(\boldsymbol v_{k}\) 으로부터 \(\boldsymbol h(\boldsymbol v_{k})\) 얻음 - Step 4)
Update Weights - \[\Delta W \propto \frac{1}{N} \sum_{\boldsymbol v_{0} \in S} \boldsymbol h (\boldsymbol v_{0}) \boldsymbol v_{0}^{T} - \boldsymbol h (\boldsymbol v_{k}) \boldsymbol v_{k}^{T}\]
- \[\Delta b \propto \frac{1}{N} \sum_{\boldsymbol v_{0} \in S} \boldsymbol v_{0}^{T} - \boldsymbol v_{k}^{T}\]
- \[\Delta c \propto \frac{1}{N} \sum_{\boldsymbol v_{0} \in S} \boldsymbol h (\boldsymbol v_{0}) - \boldsymbol h (\boldsymbol v_{k})\]
- RBM Code :
Chapter 8. Non-metric Methods for Pattern Classification
training data 전체에 부합하는 parametric boundary 찾는 대신
feature space를 여러 tree level에서 sub-regions로 나눠서 classify independently
- Decision Tree :
not unique for partition - probability that \(\boldsymbol x \in u(t)\) has class \(w_{j}\) :
\(N(t=5) = 7\), \(N_{1} (t=5) = 2\), \(N_{2} (t=5) = 5\) 에 대해
\(P(w_{1} | t=5) = \frac{2}{7}\), \(P(w_{2} | t=5) = \frac{5}{7}\) - node impurity and splitting :
\(I(t) = \phi (P(w_{1} | t), \cdots, P(w_{c} | t))\) where \(\sum_{i=1}^{c} P(w_{i} | t) = 1\) - maximum, minimum :
-
| $$P(w_{1} | t) = \cdots = P(w_{c} | t) = \frac{1}{c}$$ 일 때 maximum 값 (가장 impure) |
-
| $$P(w_{j} | t) = 1\(and\)P(w_{i} | t) = 0\(for all\)i \neq j$$ 일 때 minimum 값 (가장 pure) |
- 종류 :
-
| Gini criterion : $$I(t) = 1 - \sum_{i} P(w_{i} | t)^{2}$$ |
-
| Entropy : $$I(t) = - \sum_{i} P(w_{i} | t) \text{log}{2} P(w{i} | t)$$ |
-
| Classification error : $$I(t) = 1 - \text{max}{i} P(w{i} | t) = \frac{N_{minor}(t)}{N(t)}$$ |
- parent node에서 child node로 옮겼을 때
impurity가 많이 감소할수록 잘 split한 것임
즉, \(\Delta I(t) = I(t) - (I(t_{L}) \frac{N(t_{L})}{N(t)} + I(t_{R}) \frac{N(t_{R})}{N(t)})\) 가 클수록 better split
e.g. \(I(t) = 1 - \text{max}_{i} P(w_{i} | t)\) 를 사용할 경우 위의 그림에서 \(\Delta I(t=3) = \frac{3}{13} - (\frac{1}{4} \frac{4}{13} + \frac{0}{9} \frac{9}{13}) = \frac{2}{13}\) - terminating splitting :
- stopping rule :
stop splitting the node if \(\Delta I(t) \lt \tau\) - pruning :
일단 (nearly) pure class 될 때까지 tree 늘린 뒤
subtree를 terminal node로 대체
- Pruning Decision Tree :
- Let’s define
- \(l(t), r(t)\) : node \(t\) 의 left, right child (\(l(t) = r(t) = 0\) for terminal node \(t\))
- \(\tilde T\) : set of terminal(leaf) nodes of tree \(T\)
- \[P(t) = \frac{N(t)}{N(t=1)}\]
-
| $$P(w_{j} | t) = \frac{N_{j}(t)}{N(t)}$$ |
| where $$\sum_{j=1}^{c} P(w_{j} | t) = 1$$ |
- \(P_{L}(t) = \frac{P(l(t))}{P(t)} = \frac{N(l(t))}{N(t)}\)
\(P_{R}(t) = \frac{P(r(t))}{P(t)} = \frac{N(r(t))}{N(t)}\)
where \(P_{L}(t) + P_{R}(t) = 1\)
- subtree and pruned subtree :
-
subtree : 하나의 node에서 출발해서 its child node들을 가져오는데 양쪽 다 가져와야 함 (위 그림 참고) -
pruned subtree \(T_{1} \leq T\) : tree \(T\) 와 root node가 같아야 함 (위 그림 참고)
-
| tree \(T\) has class labels $${ w_{j}(t) | t \in \tilde T }\(and disjoint partition\){ u(t) | t \in \tilde T }$ |
- Pruning Algorithm :
- Let’s define
- misclassification rate at
node \(t\) :
\(R(t) = \frac{M(t)}{N(t=1)} = \frac{M(t)}{N(t)} \frac{N(t)}{N(t=1)} = r(t) p(t)\)
(node \(t\) 가 terminal node라고 생각)
where \(r(t) = \frac{M(t)}{N(t)}\) : classification error at node \(t\)
where \(p(t) = \frac{N(t)}{N(t=1)}\) : frequency at node \(t\) - total misclassification rate for
tree \(T\) :
\(R(T) = \sum_{t \in \tilde T} R(t) = \frac{1}{N(t=1)} \sum_{t \in \tilde T} M(t)\)
(for all terminal nodes of tree \(T\)) - cost-complexity at node \(t\) :
\(R_{\alpha}(t) = R(t) + \alpha\) - cost-complexity for tree \(T\) :
\(R_{\alpha}(T) = \sum_{t \in \tilde T} R_{\alpha} (t) = R(T) + \alpha | \tilde T |\) - cost-complexity for subtree \(T_{t}\) :
\(R_{\alpha}(T_{t}) = \sum_{t \in \tilde T_{t}} R_{\alpha} (t) = R(T_{t}) + \alpha | \tilde T_{t} |\)
where \(T_{t}\) : node \(t\) 를 root node로 하는 subtree - \(\alpha = g(t)\) s.t. \(R_{\alpha}(t) = R_{\alpha}(T_{t})\) :
\(R_{\alpha}(t) = R_{\alpha}(T_{t})\) 이도록 하는 \(\alpha\)
즉, \(R(t) + \alpha = R(T_{t}) + \alpha | \tilde T_{t} |\) 이도록 하는 \(\alpha\) 즉, \(\alpha = g(t) = \frac{R(t) - R(T_{t})}{| \tilde T_{t} | - 1}\)
- Pruning :
- \(g(t)\) 가
최소인 node \(t\) 를 prune!!
\(\alpha = g(t) = \frac{R(t) - R(T_{t})}{| \tilde T_{t} | - 1}\) 가 최소라는 말은, - case 1)
node \(t\) 가 terminal node이든 (\(R(t)\)), node \(t\) 아래로 children이 있든 (\(R(T_{t})\)) 차이가 크지 않아서 prune해도 ok
즉, \(R(t) - R(T_{t})\) 가 작다 - case 2)
node \(t\) 아래로 children이 너무 많아서 (large \(| \tilde T_{t} |\)) prune하는 게 나음
- prune할수록 \(| \tilde T_{t} |\) 가 작아지니까
tree는 작아지고
cost \(\alpha = g(t)\) 는 커짐 - test set 또는 cross-validation 이용해서
training set에 너무 overfitting된 nodes를 pruning함으로써
better generalization
- Pruning Example :
Chapter 9. Algorithm-Independent Machine Learning
- Resampling :
- Comparison :
- Sampling :
select groups within population - Resampling :
accuracy 높이고 uncertainty of estimate quantify하기 위해
reselect new samples, that can provide more info. about population, based on one observed sample
and estimate population(distribution) param. multiple times from data
- 종류 :
resampling 기법 중 유명한 건
How to estimate bias and variance of estimator(statistic)?
- Jackknife :
- bias 줄이기 위해
remove samples from available dataset
and recalculate the estimator - may fail in estimating non-smooth statistic
(smooth statistic : small change in data causes small change in statistic) - \(i\)-th jackknife sample :
\(i\)-th observation 제거
\(x_{i} = (x_{1}, \cdots, x_{i-1}, x_{i+1}, \cdots, x_{n})\) - estimate again by \(i\)-th jackknife sample :
estimate \(\hat \theta_{(i)} = g(x_{i})\) based on \(x_{i}\) - \(i\)-th pseudo-sample :
\(\tilde \theta_{(i)} = n \hat \theta - (n-1) \hat \theta_{(i)}\) - jackknife estimate of bias (\(\hat b_{jack}(\hat \theta)\)) :
\(\hat b_{jack}(\hat \theta) = (n-1)(\hat \theta_{(\cdot)} - \hat \theta)\)
where \(\hat \theta_{(\cdot)} = \frac{1}{n} \sum_{i=1}^{n} \hat \theta_{(i)}\) - bias-corrected jackknife estimate :
\(\hat \theta_{jack} = \hat \theta - \hat b_{jack}(\hat \theta) = n \hat \theta - (n-1) \hat \theta_{(\cdot)} = \frac{1}{n} \sum_{i=1}^{n} \tilde \theta_{i}\)
Then bias-corrected \(\hat \theta_{jack}\) 은 \(\hat \theta\) 에 비해 bias 작음 - jackknife estimate of variance (\(\hat v_{jack}(\hat \theta)\)) :
\(\hat v_{jack} (\hat \theta) = \hat v (\hat \theta_{jack}) = \frac{s_{jack}^{2}}{n} = \frac{1}{n(n-1)} \sum_{i=1}^{n} (\tilde \theta_{(i)} - \frac{1}{n} \sum_{j=1}^{n} \tilde \theta_{(j)})^{2} = \frac{n-1}{n} \sum_{i=1}^{n} (\hat \theta_{(i)} - \hat \theta_{(\cdot)})^{2} = \frac{(n-1)^{2}}{n} s^{2}\)
where \(s_{jack}^{2}\) is sample variance of \(n\) pseudo-samples
where \(s\) is sample variance of \(n\) estimates
(\(Var(\tilde \theta_{(i)}) \approx Var(\sqrt{n} \hat \theta)\))
- Bootstrap :
- sampling distribution (\(\neq\) sample distribution) :
distribution of estimated statistics from different samples from the same population
By central limit theorem, sampling distribution is normal and allows for probabilistic predictions about outcomes - precision : by standard deviation of sampling distribution
- accuracy : by bias
- bootstrap distribution :
population 대신 a sample set itself로부터 sampling n points with replacement 수행하여 distribution 구함
(population으로부터 추가 samples generate하지 않아도 new samples (sampling distribution) 얻는 과정을 모방) - estimate by \(b\)-th bootstrap sample : \(\hat \theta^{\ast (b)}\)
- bootstrap estimate of bias (\(b_{boot} (\hat \theta)\)) :
\(b_{boot} (\hat \theta) = \hat \theta^{\ast (\cdot)} - \hat \theta\)
where \(\hat \theta^{\ast (\cdot)} = \frac{1}{B} \sum_{b=1}^{B} \hat \theta^{\ast (b)}\) - bootstrap estimate of variance (\(Var_{boot} [\hat \theta]\)) :
\(Var_{boot} [\hat \theta] = \frac{1}{B} \sum_{b=1}^{B} (\hat \theta^{\ast (b)} - \hat \theta^{\ast (\cdot)})^{2}\)
(As \(B \rightarrow \infty\), \(Var_{boot}[\hat \theta] \rightarrow Var[\hat \theta]\)) - Implementation : Ensemble learning
- Step 1)
multiple subsets(size \(n\)) are selected with replacement from original dataset(size \(n\)) - Step 2)
A base model is created on each subset - Step 3)
Each independent model is learned in parallel with each subset - Step 4)
Final prediction by combining predictions of each model
- 장단점 :
- 장점 :
- sampling distribution for statistics의 shape, spread, bias 정도를 estimate하기 좋은 방법
- small samples로도 잘 작동
(jackknife는 \(n\) 개의 \(\hat \theta_{(i)}\) 구하려고 반복해야 했음) - \(B\) 커질수록 bias, var. 측면에서 더 좋지만 computational load 커짐
- 단점 :
- non-smooth model일 때는 잘 작동 X
- 아래의 경우에는 사용 안 함
- data가 너무 작아서 population value와 가깝지 않을 때
- data에 outlier가 너무 많을 때
- dependent data일 때 (e.g. time series data)
(bootstrap은 data independence를 가정)
- Ensemble learning에는 Bagging과 Boosting의 two types 있음
- 공통점 :
- Ensemble learning
- to get 1 strong learner from N homogeneous weak learners by averaging or majority voting
(each weak learner는
one target class에 대해서는 accurately predict하지만,
all target classes에 대해서는 not generalized (not optimal) to accurately predict)
- 차이점 :
individual weak learner의 training phase에 차이가 있음 -
Bagging (= Bootstrap aggregating) :
learn from each other independently in parallel, and combine them by averaging or voting - aim to decrease variance (not bias)
(overfitting 문제 해소) - combine predictions that belong to the same type
- models combine할 때 equal vote
- each model is independent
- different training subsets : random sample from entire training dataset
by resampling with replacement - classifier가 unstable (e.g. decision tree) (high variance) 하더라도 improve in almost all cases
- built and trained in parallel
- e.g. random forest model
-
Boosting (Arcing = Adaptive resampling and combining) :
learn iteratively and sequentially and adaptively
first round에는 training examples를 equal weight로 반영한 뒤
round마다 misclassified training examples(by current weak hypothesis) 에 더 많은 weight를 부여하도록 update하여
next round에서 weak learner가 hard-to-classify examples에 더 집중하도록 함 - aim to decrease bias (not variance)
- combine predictions that belong to the different types
- models combine할 때 weighted vote by their performance (accuracy)
- new model is influenced by the performance of previous model
- every new training subset : weighted sample to focus on misclassified examples by previous models (more often chosen)
by adaptive resampling 그로써 weak learner can be converted to strong learner - classifier가 stable하고 simple할 때 (high bias) 적용
- built and trained sequentially
- e.g. AdaBoost
Chapter 10. Unsupervised Learning
- EM (Expectation-Maximization) :
repeat E-step and M-step until log-likelihood \(L\) converges - E-step :
for each data point \(x_{k}\), estimate posterior \(\gamma_{ki}\) and assign \(x_{k}\) to the class \(\text{max}_{i} \gamma_{ki}\) - M-step :
update parameter \(\hat \theta\)
e.g. \(\hat \mu_{i}, \hat \Sigma_{i}, \hat P(w_{i})\)
Cheet Sheet for Final Exam